๏ปฟ Varipend ยฎ

 

contents:

Introduction

Article

Download

Contacts

 

Forums

 

Rus

Engl

 

About an opportunity of "reactionless" moving

      2. Article



  2.10. Practical use

 

Force Elements (FE), separately or incorporated in groups, can be used as engines of any devices for moving to any conditions and environments.

 

The material system moving by means of the FE, will possess very high maneuverability as the kinetic condition of system during movement does not change.

 

Example.

The material system a lump of 1000 kg includes 10 FE with phase shift.

On a share of all the FE 10 % from a lump of system are allocated.

The radius of a trajectory of the FE is equal 1 m.

To define the minimal kinematic characteristics of FE to tear off all material system from a surface of the Earth.

Solution.

Mass of one FE:

Weight of all system at a surface of the Earth:

From (48):

 

 

 

The capacity necessary for continuous work of all the FE, is defined from (49)

 

 

This maximal value of capacity. In real devices it should be much less. (See the note to the  formula (49)).

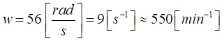
Speed of system at absence of gravities is defined from (47):

 

 

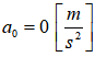
The acceleration of the system is zero:

a0=0

 

Note.

Calculations in the given example are made very  much approximately as real dynamic both geometrical characteristics of the FE and methods of restoration of the FE in a working condition are not considered




// //
ะกะฐะนั‚ ัะพะทะดะฐะฝ ะฒ ัะธัั‚ะตะผะต uCoz